植物表型組學研究技術——PhenoUAS?無人機植物表型分析平臺
一、 表型組學研究面臨的挑戰
The current challenges are: ?rst, to weave these new techniques into a package that can be implemented across phenomics platforms on different plant species and second, to bridge the gap between lab and ?eld studies[Tim Brown, et.al, TraitCapture: genomic and environment modelling of plant phenomic data, Current Opinion in Plant Biology, 2014, 18: 73-79].
上世紀90年代末提出的表型組和表型組學概念,現在早已成為國際科學界的一大研究熱點。但對于植物表型的研究者來說,在技術上還面臨兩大挑戰:1.如何將這些技術整合起來,建立用于不同植物物種的表型平臺;2.縮小實驗室與野外研究的差距。
對于第一個挑戰,PlantScreen植物表型成像分析技術已經提供了全面系統解決方案(圖1)。詳情請見:植物表型組學研究技術 ——PlantScreen表型成像技術


圖1. PlantScreen植物表型成像分析系統及其各個功能模塊
而對于第二個挑戰,野外樣帶版的PlantScreen植物表型成像分析系統可以在很大程度上解決這個問題(圖2)。
圖2. PlantScreen植物表型成像分析系統野外樣帶版
但是這種陸基(ground-based)表型成像分析平臺還是有一定的局限性:
1. 為了適應不同的樣點面積和植被類型,需要對系統進行專門設計和調整;
2. 無法同步測量大量的樣點,對于不同的樣點數量和面積,完成一遍測量可能需要幾分鐘到幾小時(圖3);
3. 平臺會碾壓樣地的土壤;
4. 地面不平整造成的震動會影響測量結果。
圖3. 對于機動能力更差的固定式表型平臺,數據無法同步的問題會更加嚴重
二、 PhenoUAS?無人機植物表型分析平臺
PhenoUAS?無人機植物表型分析平臺是無人機技術與植物表型分析技術等高新技術的創新性集成系統平臺,使植物表型分析平臺真正從實驗室走向大田野外、從單個葉片或單株植物或幾十平方米的視野一下子躍升到幾百畝或者上千畝甚至更大范圍、從每天幾千株植物的高通量躍升到幾百萬幾千萬甚至更多的超高通量測量分析。PhenoUAS無人機高通量大田作物/植物表型分析平臺主要功能特點如下:
1) 由易科泰自主研制生產的UAS-4四旋翼專業表型分析無人機平臺或UAS-8八旋翼專業表型分析無人機平臺配置高清晰RGB鏡頭、多光譜鏡頭、高光譜鏡頭、紅外熱成像鏡頭及LiDAR等傳感器,及相應數據處理分析軟件組成
2) 模塊式結構,配置靈活,具備高度可擴展性,UAS-4或UAS-8可同時配置兩個傳感器甚至3個傳感器(比如RGB鏡頭與多光譜鏡頭等組合),可野外現場更換不同的傳感器組合,或以后擴展更多的傳感器組合
3) 多年與PSI植物表型分析研究中心合作,積多年植物/作物表型分析技術服務經驗,為植物表型分析提供全面技術方案;PhenoUAS?可測量分析植物的形態結構性狀如葉面積、覆蓋度、株高、冠幅等等,還可測量分析植物的功能性狀如長勢、抗性、脅迫(包括生物脅迫與非生物脅迫)、產量評估等等
4) 全自動、超高通量植物表型數據采集,可根據測量分析需求自動控制無人機表型分析平臺的高度(如從幾米高度到100米高度或更高)、飛行速度、懸停、面積范圍等;可預先規劃飛行航線、覆蓋面積,使每次飛行都按同樣的航線作業
5) 采集數據除時間戳外,可以帶地理信息(GPS信息)、多光譜信息乃至高光譜信息等
6) 測量范圍由地面高通量表型分析平臺的幾平方米或幾十平方米,躍升至幾百畝或更大范圍,超高通量測量分析作物/植物表型
7) 是作物/植物表型性狀的大數據采集分析平臺
8) 高時空分辨率,空間分辨率可以達到1cm左右,十幾分鐘即可完成幾百畝樣地的數據采集工作
圖4. PhenoUAS-4四旋翼無人機植物表型分析平臺在新疆昌吉棉田飛行作業
圖5. PhenoUAS-8八旋翼無人機植物表型分析平臺陜西楊凌飛行作業示范
PhenoUAS?無人機植物表型分析平臺配置的傳感器主要有:RGB真彩相機、NDVI鏡頭、多光譜鏡頭、高光譜鏡頭、紅外熱成像鏡頭、LIDAR傳感器、相關氣象傳感器等(表2)。相關成像分析請參見圖6。
表2. PhenoUAS?S主要傳感器類型及功能

圖6. 用于植物表型分析的玉米不同生長階段成像圖a)RGB真彩成像;b)NDVI(多光譜)成像;c)基于NDVI成像獲得的冠層覆蓋度;d)26.07.2011獲取的部分熱成像圖[4]
在華盛頓州立大學(WSU)-美國農業部農業研究局(USDA-ARS)聯合豆類干旱研究中,20種抗性和20種易感重組自交系進行了晚期干旱狀況比較。之后通過無人機獲取了高分辨率的多光譜照片。計算得到的改進綠色歸一化植被指數(green normalized difference vegetation index,GNDVI)與產量數據表型出極高的相關性。通過GNDVI數據和成像結果也可以非常直觀地分辨不同品種之間的差異。(圖8)
圖7. 無人機傳感器用于水分脅迫的豆類研究(a)多光譜假彩成像圖(b)GNDVI與產量數據的相關擬合(源自Trapp, J., Doctoral dissertation, Washington State University, Ph.D. Thesis 2015)
日本北海道農業研究中心Ryo Sugiura等利用無人機表型分析平臺對馬鈴薯品種晚疫病抗性進行了研究,在53.8m x 27.0m的樣方內按行距75cm種植了270個栽培品種,具體研究結果參見下圖。在這種樣方內,PhenoUAS可以懸停空中采集樣方光譜信息。

圖8. 不同時間(7月17日至8月15日)晚疫病的發展過程,其中紅色區域為晚疫病侵襲部分
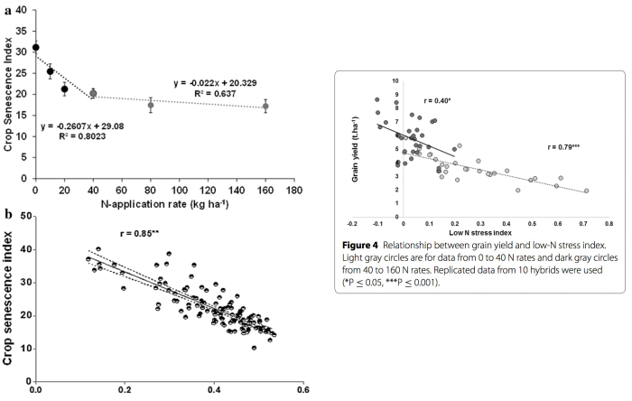
International Maize and Wheat Improvement Center利用無人機表型分析技術,對大田玉米貧氮脅迫抗性進行了研究分析,研究結果參見下列圖表。
圖9. 不同梯度氮脅迫(左圖中ss指高度氮脅迫、ms為中度氮脅迫、c為正常施肥)及根據NDVI得出的氮脅迫指數
圖10. 左圖(A、a)為氮脅迫情況下玉米長勢高度變異情況,右圖(B、b)為正常情況下玉米生長狀況
圖11. 右上圖為不同施肥強度與作物衰老指數(根據無人機表型分析平臺RGB正射影像算出)的關系,右下圖為無人機表型分析平臺得到的NDVI與作物衰老指數的關系);右圖為無人機表型分析平臺得出的氮脅迫指數與玉米產量的關系
全部評論