PhenoTron?種子活力綜合檢測平臺
落戶農業農村部蔬菜種子質量監督檢驗測試中心
日前,北京易科泰生態技術有限公司為北京市農林科學院農業農村部蔬菜種子質量監督檢驗測試中心安裝了一套PhenoTron?種子活力綜合檢測系統。該系統包括智能LED光源培養、種子形態RGB成像分析、高通量種子呼吸強度檢測、種子萌發與種苗葉綠素熒光成像檢測等現代技術,用于全面檢測種質資源的表觀形態、呼吸代謝強度(耗氧率)、發芽及其抗逆性等表型性狀指標。該系統的安裝運行將為蔬菜種質資源搜集利用與創新、蔬菜新品種選育等領域提供強大助力。
智能LED光源培養臺為種子萌發及幼苗生長提供了可控環境。培養臺可調制模擬自然光照及程序化模擬晝夜節律;可調控培養溫度;內置了通風單元進行換氣通風。光強、溫度等培養條件均通過軟件進行動態調控和實時監測。

智能LED光源培養箱及觸摸控制屏
種子活力檢測則由模塊化的檢測單元實現,包括葉綠素熒光成像單元、高通量種子呼吸測量單元、種子形態分析單元,用于全面綜合評估種子活力及測量種苗-根系表型。

種子活力檢測各單元
葉綠素熒光成像單元采用脈沖振幅調制(PAM)技術,既可對萌發中的種子成像,通過檢測子葉中的葉綠素熒光鑒別種子是否萌發及其抗逆性,用于快速、高通量評估種子萌發率;又可對萌發后的幼苗成像,借助一系列的葉綠素熒光參數評估幼苗的光合能力和脅迫抗性,如QY_max最大光化學效率(Fv/Fm,對各種脅迫極為敏感)、Effective QY有效光化學效率(量子產額)、NPQ非光化學淬滅(與光系統熱耗散、光保護機制有關)、Rfd熒光衰減比率等。

西紅柿幼苗葉綠素熒光成像
由成像圖可見:熒光成像圖能很好的識別出每株樣品的子葉。通過識別發芽樣品便可計算發芽率。并且可借助軟件的尺寸篩選功能,按子葉的光合有效投影面積進行分級篩選。此外,Fv/Fm等熒光參數還可以反映幼苗的光合活性,進而評估幼苗活力。

萌發種子的葉綠素熒光成像
從成像結果來看,種子萌發到一定階段,子葉的葉綠素熒光就可能透過種皮被觀測到,但其Fv/Fm最大光化學效率相對于幼苗偏低。這樣就可以使用葉綠素熒光成像技術進行種子萌發不同階段的檢測。
高通量種子呼吸測量單元采用了光學氧傳感器技術,通過測量種子的耗氧率(MO2)評估種子活力。即一般情況下,高活力的種子耗氧率高。測量單元由貼有氧氣薄膜貼的24孔多孔板、氧氣讀取器及在線數據采集分析軟件等部分組成。

48通道種子呼吸測量系統

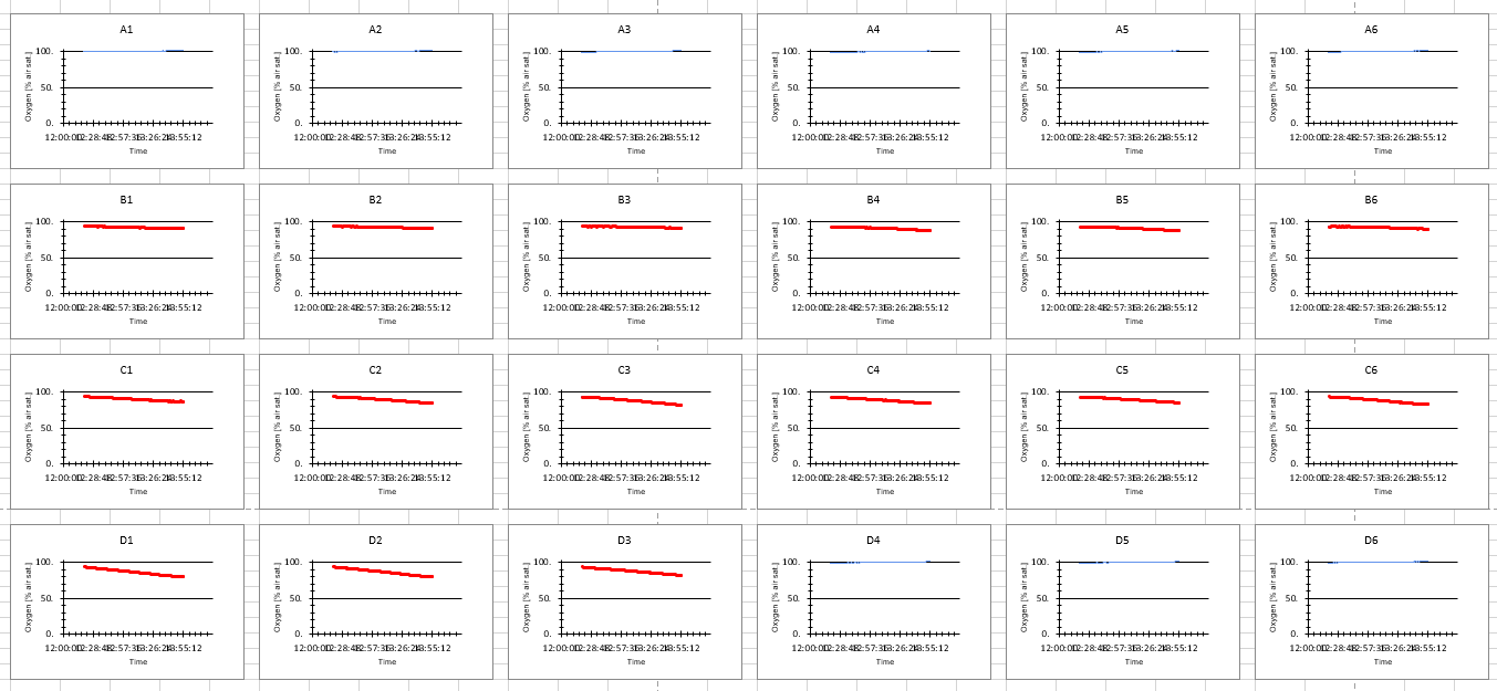
24孔板每個孔中氧氣相對含量的時間動態圖
其中A1-A6及D4-D6為空白,B1-B6每個孔放有一粒種子,C1-C6每個孔放有兩粒種子,D1-D3每個孔放有3粒種子。可圖可見:在近兩個小時的測量記錄時間內,空白組氧氣含量較穩定;放有一粒種子的孔氧氣降低,曲線斜率小;兩粒種子的氧氣降低,快于一粒種子;三粒種子的孔氧氣下降較為明顯,下降速率最快。
種子形態分析單元則采用高分辨率、具備透掃功能的掃描儀獲取高質量的灰度圖片和彩色圖片,再借助專業的植物圖像分析軟件,對種子數量、長度、寬度、體積大小、表面積、周長進行自動測量及顏色分析。

種子形態與顏色分析
推薦閱讀:
PlantScreen植物表型成像分析系統應用 ——高通量種子萌發活力與表型監測
全部評論